
Derek Building Material Additives Modern Dry Mix Mortars Construction Rdp
● CAS: 26677-99-6
● FORMULA: (C4H2O3)m.(C3H4O2)n
Product Introduction
We will continue to optimize the generation process to improve production efficiency and product quality of our 7H Dibenzo c g carbazole, FMOC L Valine, Iodobenzene. We advocate the "double growth" model of "enterprise growth and employee growth", and help employees achieve self-fulfillment while striving to achieve the company's goals, and provide fair opportunities for each employee. We implement continuous improvement of all elements such as processes, procedures, equipment and personnel.
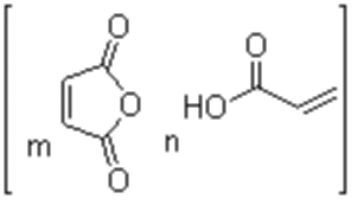
MA-AA; Poly(maleicanhydride-acrylicacidcopolymer)
CAS: 26677-99-6
FORMULA: (C4H2O3)m.(C3H4O2)n
STRUCTURE:

Product specification
Test | Specification |
Appearance | Clear amber liquid |
Solid content | ≥48.0% |
We firmly follow the path of sustainable development and carry the green concept through the whole cycle of Derek Building Material Additives Modern Dry Mix Mortars Construction Rdp production. The company has strong innovation and optimization capabilities and can provide customers with professional services and high-quality products. We are actively exploring new business territories and experimenting with new business models.
Hot Tags: poly(maleicanhydride-acrylicacidcopolymer) cas: 26677-99-6, China, suppliers, manufacturers, factory, customized, bulk, in stock, 9 4 bromophenyl 10 naphthalen 2 yl anthracene, N4 N4 N4 N4 Tetra 4 biphenylyl biphenyl 4 4 diamine, 9 Bromo 10 2 naphthyl anthracene, Adamantyl methacrylate, 9 Anthracenecarboxylic Acid, Additives
[[ProKeywords]]




